为了研究免耕秸秆覆盖措施对黑土农田肥料氮转化过程和高效利用的调控机制,中国科学院沈阳应用生态研究所农业生态工程组和物质循环组研究团队依托于吉林省四平市梨树县的保护性耕作试验基地的长期定位试验,利用15N稳定同位素示踪技术,系统研究了免耕不同量秸秆覆盖还田条件下,肥料氮在土壤不同形态氮库的转化特征及其利用效率。研究结果发现:
1. 在农民常规量施肥条件下,肥料氮施入土壤后,玉米苗期0-20cm土层,主要是通过微生物的同化作用使其转化成有机氮,20-40cm土层主要是通过粘土矿物的固定作用转化成固定态铵,与传统垄作(RT)和免耕无秸秆覆盖(NT0)处理相比,免耕不同量秸秆覆盖(NT33、NT67和NT100)在维持较高玉米产量的同时,通过提高肥料氮向土壤有机氮库和固定态铵库的转化比例,有效降低了作物需氮低峰期(玉米苗期)肥料氮的损失风险,提高了肥料氮的利用效率。相关研究以“Effects of no-tillage and stover mulching on the transformation and utilization of chemical fertilizer N in Northeast China” 为题发表在Soil & Tillage Research上,中山大学陈怀海副教授和沈阳生态所物质循环组博士研究生刘岩为共同第一作者,鲁彩艳研究员和迟光宇副研究员为共同通讯作者。该研究得到了王宽诚教育基金、国家自然科学基金、辽宁省重点研发计划等项目的资助。
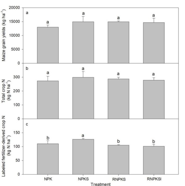
2. 与免耕100%秸秆覆盖常规量施肥措施相比,免耕100%秸秆覆盖减肥20%及其配施抑制剂处理可进一步降低肥料氮通过硝化-反硝化和淋溶途径发生的损失量,提高肥料氮的作物利用效率和土壤中保持能力,肥料减施20%及其配施抑制剂处理玉米产量略有降低,但差异不显著,这一结果说明在免耕100%秸秆还田条件下减少肥料的施用量具有可行性。上述结果以“Stover mulching and inhibitor application maintain crop yield and decrease fertilizer N input and losses in no-till cropping systems in Northeast China”为题发表在Agriculture, Ecosystems and Environment上。沈阳生态所农业生态工程组博士研究生袁磊和陈欣研究员为共同第一作者,鲁彩艳研究员通讯作者。该研究得到了国家自然科学基金、王宽诚教育基金、辽宁省重点研发计划等项目的资助。

图1 常规量施肥条件下免耕不同量秸秆覆盖对玉米产量和吸氮量的影响
图2 常规量施肥条件下玉米苗期免耕不同量秸秆覆盖对肥料氮转化过程的影响

图3 免耕秸秆覆盖条件下肥料减施和抑制剂施用对玉米产量和吸氮量的影响

图4 免耕秸秆覆盖条件下肥料减施和抑制剂施用对肥料氮去向的影响