Nature Communications | 北方针叶林在变暖进程中保持碳吸收,尽管未能追踪到最佳温度

 

增温将净光合作用的最适热状态转移到更高的温度。然而,我们对这种转变的认识主要来自在大气二氧化碳(CO2)环境下在温室中生长的幼苗。但是,在大气中CO2浓度升高的情况下,野外生长树木的净光合作用的变化是否会与21世纪预测的温度保持一致,目前仍是未知的。
在此,本研究利用整个生态系统的增温控制实验,在环境(增温为0,即对照)或CO2水平升高的情况下,发现成熟针叶树的净光合作用随增温而增加。然而,净光合作用的变化并没有跟上增温的步伐,因为每变暖1°C, 净光合作用只增加0.26-0.35°C。CO2浓度升高的云杉中,平均生长温度下估算的净光合速率随温度升高而增加,而在环境CO2的云杉中,以及环境CO2CO2浓度升高的落叶松中,净光合速率随温度升高而保持不变。虽然这两种植物的净光合作用变化不足以跟上变暖的步伐,但这些北方针叶树可以热适应光合作用,以在未来的空气温度下保持碳吸收。

                                               图1 增温和增加CO2处理的净光合最适温度。

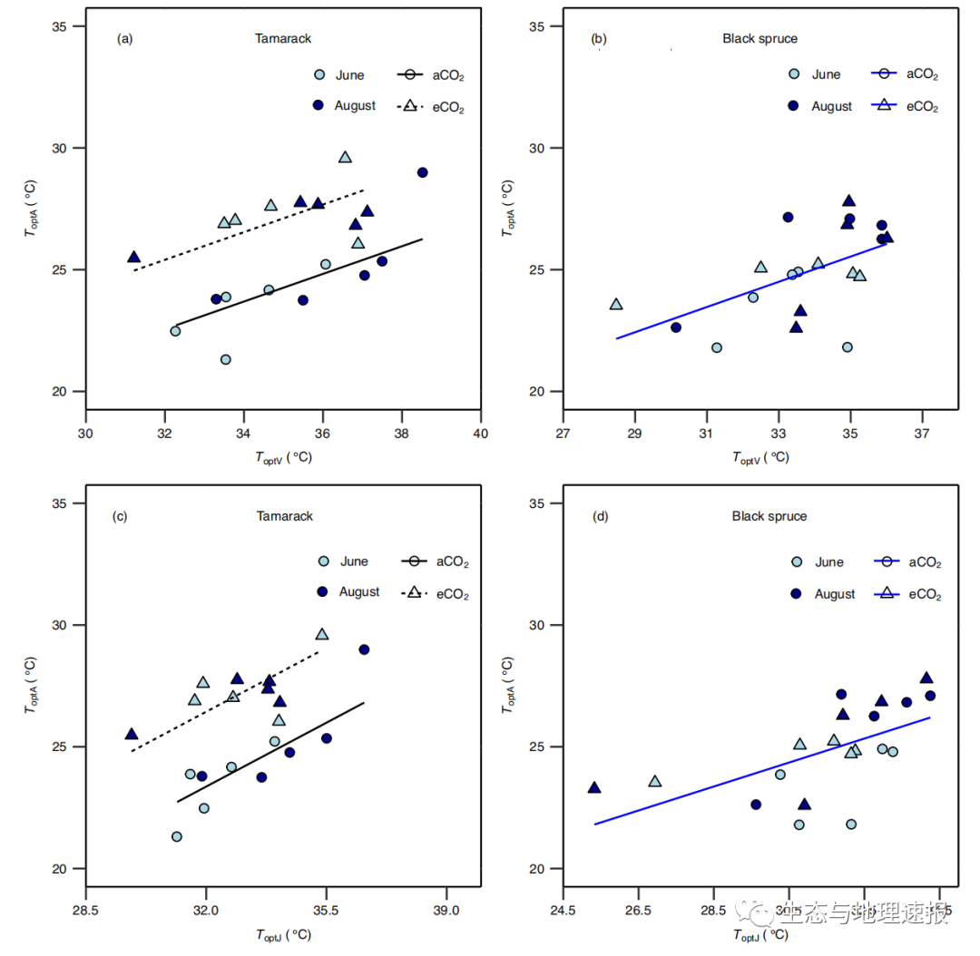
                                   图2 净光合作用最适温度与潜在生化过程最适温度的关系。

                                图3 增温和增加CO2处理的净光合最适温度与主要生长温度之差的变化。
                        
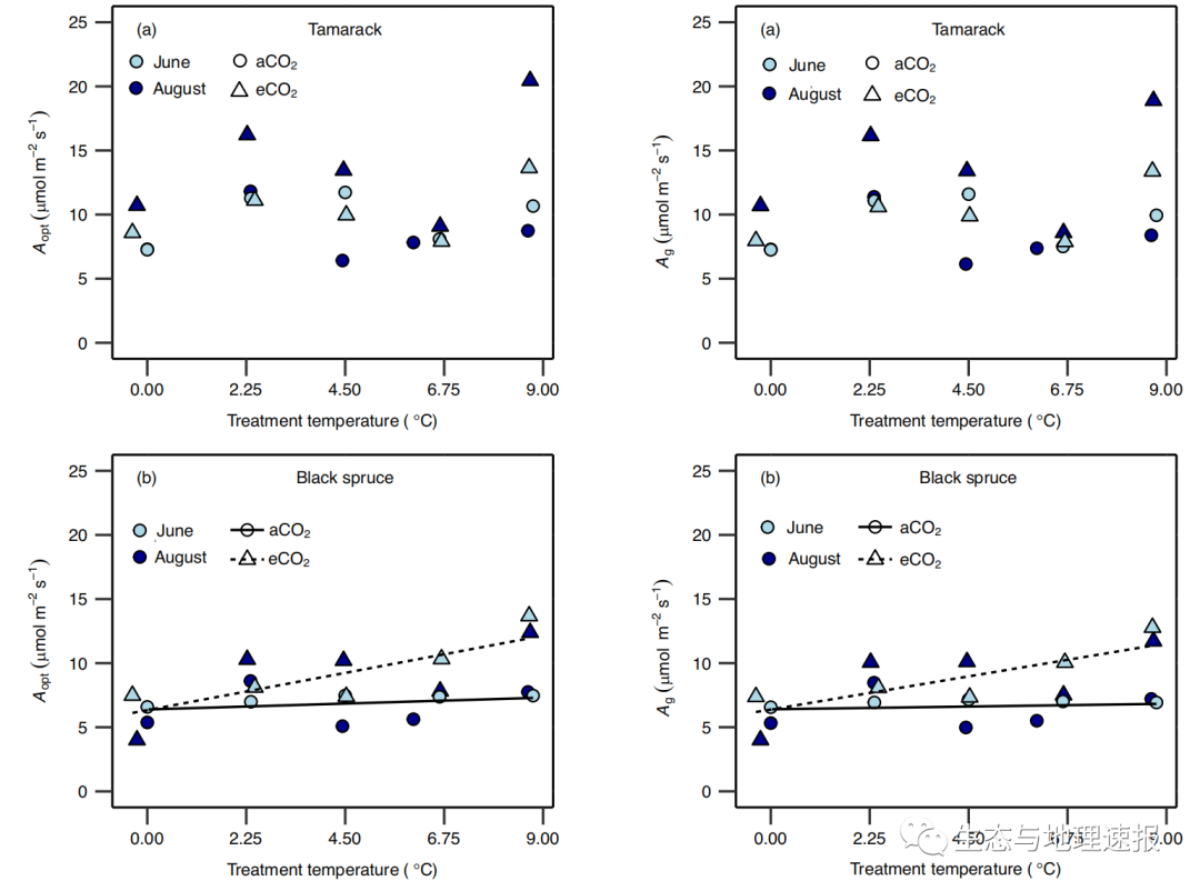
                           图4 净光合速率在增温和CO2升高的最适热处理。


图5 在增温和CO2处理的主要生长温度下的净光合速率。

原文链接↓
https://doi.org/10.1038/s41467-023-40248-3




附件下载: