沈阳生态所在揭示土壤接种的遗留效应机制方面取得新进展
土壤遗留效应是指土壤在受到外界环境影响后对生态系统产生持续影响的现象。它不仅受到非生物环境的影响,还取决于土壤生物群落组成及其维持的土壤生态过程。然而,土壤遗留效应是由土壤生物还是非生物因素主导,不同土壤生物类群发挥着怎样的作用?这些科学问题还亟待解答。
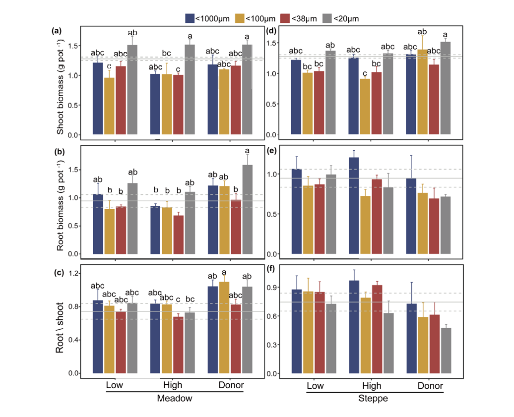
针对这一科学问题,研究团队依托土壤接种的野外试验平台,采集土壤进行了土壤接种遗留效应的微观模拟实验,进一步评估植物-土壤互作机制。研究发现,在退化草地上进行土壤接种4年后,土壤接种的遗留效应仍会影响土壤微生物群落组成和植物生长。小型土壤生物(< 20 μm),特别是土壤真菌,对遗留效应的形成和植物生长更为重要。
该研究强调了土壤接种量和小型土壤生物在土壤遗留效应中的重要性。表明植物与土壤生物之间的相互作用是恢复退化生态系统不可忽视的关键因素。研究成果以“Small-sized soil organisms drive the legacy of soil addition in a degraded grassland”为题于2025年4月发表在Functional Ecology期刊上。中国科学院沈阳应用生态研究所已毕业博士李玉辉为第一作者,博士生孙翌昕为共同第一作者,李琪研究员为通讯作者。该研究得到了中国科学院国际伙伴计划、国家自然科学基金等项目资助。
论文链接:https://doi.org/10.1111/1365-2435.70019

图1 土壤接种试验和土壤筛分处理设计框架图

图2 土壤接种处理下不同生物类群(筛分处理)对植物生长的影响
附件下载: