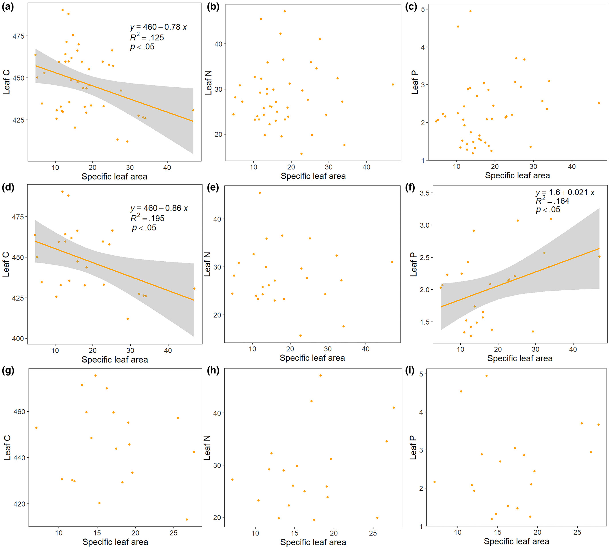
碳(C)、氮(N)、磷(P)是促进植物生长发育、维持生态系统结构和功能稳定的必需营养元素。分析植物叶片的C、N和P特征有助于了解植物的营养状况和营养限制。河岸带的季节性水位波动导致各种生态问题,如生物多样性减少和生态系统稳定性下降。因此,了解河岸带植物的化学计量特征及其对植物性状的营养响应对于深入了解河岸带森林生态系统具有重要意义。通过对大伙房水库库岸带44种木本植物叶片C、N、P含量的分析,探讨了该地区树木C、N、P的化学计量特征。结果表明,木本植物叶片的平均含碳量为446。平均氮含量为28.42 g kg −1 ;平均磷含量为2.26 g kg −1 。与全球和区域尺度相比,大伙房水库河岸带木本植物的N、P含量较高,但N:P比值较低。与其他河岸带相比,大伙房水库河岸带木本植物叶片氮含量和氮磷比相对较高。不同生活型植物化学计量特征的差异很小,只有乔木叶片磷含量显著低于灌木。木本植物叶片碳、氮、磷含量间无显著相关性,而比叶面积与叶片碳含量呈负相关。河岸带的树木叶片氮和磷含量高,主要是在生长季节的N-限制。 本研究揭示了河岸带木本植物叶片的化学计量特征,有助于深入了解河岸带植物生活型的叶化学计量格局及其影响因素。
以上研究成果以“Characterization of carbon ,nitrogen ,and phosphorus stoichiometry of plant leaves in the riparian zone of Dahuofang Reservoir”为题在线发表在国际期刊Ecology and Evolution(2024)上。沈阳城市站助理工程师常宝亮为第一作者,于帅副研究员为通讯作者,该研究得到中国科学院青年创新促进会项目和辽宁省自然科学基金项目的支持。




