厄尔尼诺-南方涛动 (El Ni?o–Southern Oscillation, ENSO)是太平洋东部和中部的风场及海水温度异常变化的现象,它包括冷(拉尼娜)暖(厄尔尼诺)两个事件,周期为2-7年。ENSO可以通过大气遥相关的方式引起...2022-08-26
生物多样性的维持机制一直是生态学研究热点话题。大量的实验证据表明,植食性昆虫或真菌有助于维持自然生态系统中的植物多样性。然而,以往的工作主要集中在森林乔木或草原草本植物上,对于它们如何影响森林...2022-08-26
陆生植物对CO2的同化必然伴随着水分的散失,在高等植物中进化出维管系统,使得物质在植物体内更高效地运输,维管系统的产生对植物的进化和全球生态系统的演化都产生了深远的影响。树木维管系统水分传输的效率...2022-05-30
在较高纬度和高海拔的温带森林生态系统中,树木越冬过程中频繁发生的冻融交替可诱导木质部气穴化栓塞的产生,损伤树木的水分传输功能。温带树种进化出不同的适应性机制应对冻融引起的冬季栓塞(winter emboli...2022-05-30
群落构建研究对于解释物种共存和物种多样性的维持机制是至关重要的,因此一直是生态学研究的热点与难点。经典生态位理论提出物种能够共存是由于占据不同的生态位,以避免生态位重叠。以往的研究表明,物种共...2022-04-19
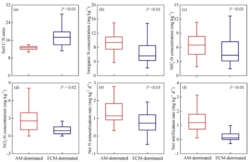
鉴于丛枝菌根树种与外生菌根树种在植物和菌根真菌功能性状上的差异,将树种按其菌根类型划分为不同功能群被认为是研究复杂森林生态系统的有效途径。基于此提出的菌根养分经济理论认为丛枝菌根森林相比外生菌...2022-04-22
同种负密度制约效应和生态位分化是物种共存和生物多样性维持的重要机制,但两者在温带森林的相对重要性仍存在很大争议。一般认为,由资源竞争(土壤湿度和养分等)引起的生态位分化弱于邻域生物关系等导致的...2022-02-14
滨海湿地是陆地生态系统和海洋生态系统的交错过渡地带,能够提供多种生态服务功能和社会经济利益,关系着人类福祉。作为最脆弱和最经济的生态系统之一,滨海湿地具有较高生产力和生物多样性,但也是人为活动...2021-12-31