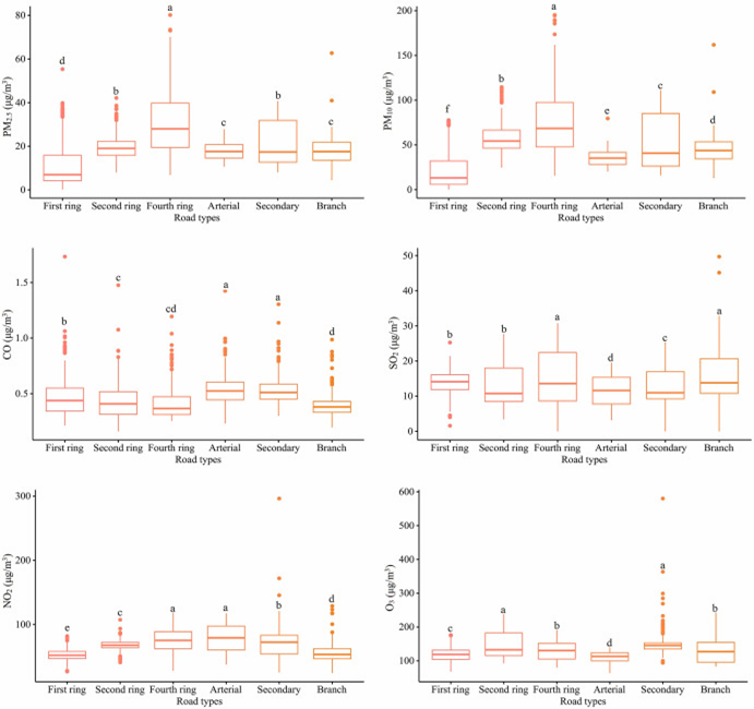
交通排放是城市地区空气污染的主要来源,空气质量受到不同类型道路的影响,这些道路的特点是不同的交通量和速度。了解不同道路类型的空气污染物分布及其影响因素,对于提高城市化地区的空气质量具有重要意义。本研究采用移动的监测技术,对沈阳市不同道路类型的PM、SO2、NO2、CO和O3的浓度进行了记录。道路类型和小气候因素对空气质量的影响使用自动机器学习进行量化。在六种道路类型中,郊区公路表现出最高的PM,SO2和NO2污染。另一方面,二级公路经历了最高水平的CO和O3污染。自动化机器学习模型提供了对PM2.5、PM10、SO2、NO2和O3浓度的准确预测(R2分别为0.91、0.83、0.82、0.83、0.79)。 相对湿度对PM2.5和PM10浓度的影响最大(分别为55.93%和59.39%),其次是气温(15.36%和17.73%)和道路类型(14.28%和8.74%)。道路类型对SO2、CO、O3和NO2的贡献率分别为24.33%、20.60%、16.61%和11.90%。总体而言,这项研究解决了以往研究的局限性,并提供了一个全面的了解道路类型对城市环境中的空气污染物浓度的影响。
以上研究成果以“Quantifying and predicting air quality on different road types in urban environments using mobile monitoring and automated machine learning”为题在线发表在国际期刊Atmospheric Pollution Research(2024)上。沈阳城市站特别研究助理苗纯萍为第一作者,于帅研究员与陈玮研究员为共同通讯作者。该研究得到国家自然科学基金项目的支持。




