Toggle navigation
首页
实验室概况
实验室简介
实验室定位
研究方向
学术委员会成员
人员建设
院士
国家基金委人才
正高级专业技术人员
副高级专业技术人员
中级专业技术人员
特别研究助理
研究进展
研究成果
承担项目
合作交流
院地合作
国际交流
学术报告
新闻动态
科学传播
科普活动
科普文章
首页
人员建设
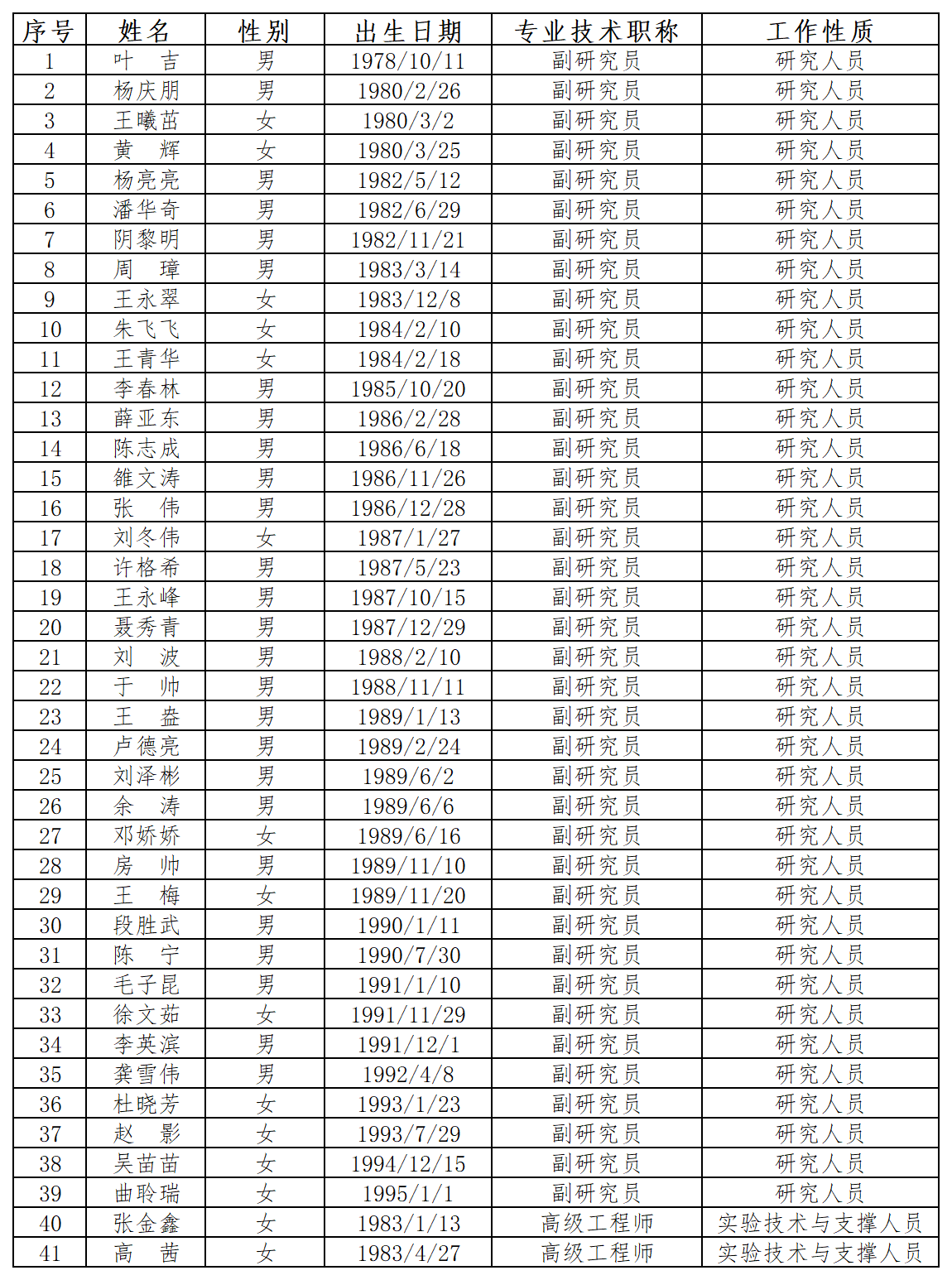
副高级专业技术人员
副高级专业技术人员
版权所有 © 中国科学院森林生态与管理重点实验室 辽ICP备05000862号-1
地址:沈阳市沈河区文化路72号 邮编:110016 技术支持:
青云软件