沈阳生态所揭示东北次生林主要树种氮吸收特性
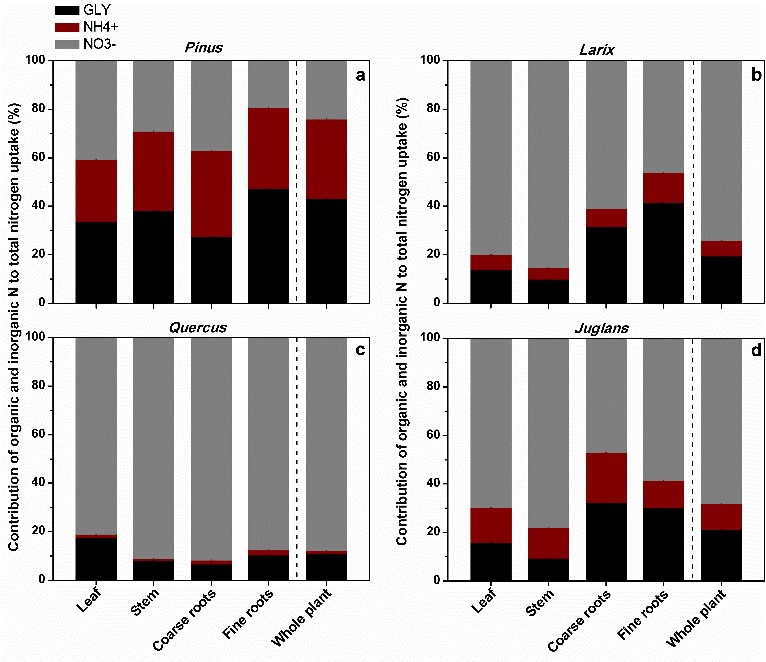
基于此,中国科学院沈阳应用生态研究所稳定同位素生态学研究团队选择了东北地区次生林内常见树种红松、落叶松、蒙古栎、胡桃楸等四种幼苗进行温室内栽培,通过15N标记实验,研究不同树种幼苗对不同形态氮(NH4+-N、NO3--N和有机氮)的吸收和转运。研究结果表明,除了红松以外,另外三个树种幼苗氮吸收均以硝氮为主,硝氮吸收占三个树种总氮吸收的68~88%,并以较快的速度运输到叶片;而对于红松而言,其通过根系优先吸收有机氮(甘氨酸),有机氮利用比例为43%,而36%的有机氮(甘氨酸)未经其他转化以完整形态被吸收。以上结果说明,东北次生林优势树种均能有效利用土壤中含量较为丰富的氮形态(研究森林土壤有效氮以硝氮为主,氨氮硝氮比例为2:3),而红松对于有机氮的优先利用可能与其共生外生菌根真菌有关。前期,稳定同位素生态学团队在清原温带森林开展了为期3年在生态系统尺度上的标记实验,该实验结果也显示相对铵态氮,森林植物吸收更多硝态氮(Li et al. 2019. Ecological Applications)。因此,在未来氮沉降增多、氮沉降中硝氮比例有所提高的背景下,该研究成果对于预测氮沉降对我国东北典型次生林和落叶松人工林物种组成、森林生产力的影响具有一定的参考意义。
该成果以“Uptake Patterns of Glycine, Ammonium, and Nitrate Differ Among Four Common Tree Species of Northeast China”为题在生态学期刊Frontiers in Plant Science发表。方运霆研究员为通讯作者,稳定同位素组副研究员朱飞飞和我所与东北大学联合培养硕士生戴陆明为共同第一作者。该研究得到国家重点研发计划项目、中国科学院前沿科学重点研究项目、中国科学院卢嘉锡国际团队和国家自然科学基金资助。

文章链接: https://www.frontiersin.org/articles/10.3389/fpls.2019.00799/full
附件下载: