沈阳生态所在氮饱和亚热带森林土壤NO转化和N2O释放速率的水分控制研究方面取得新进展
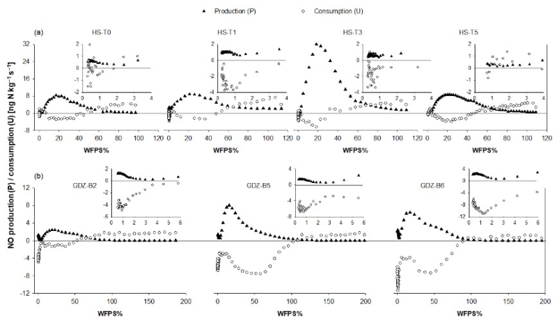
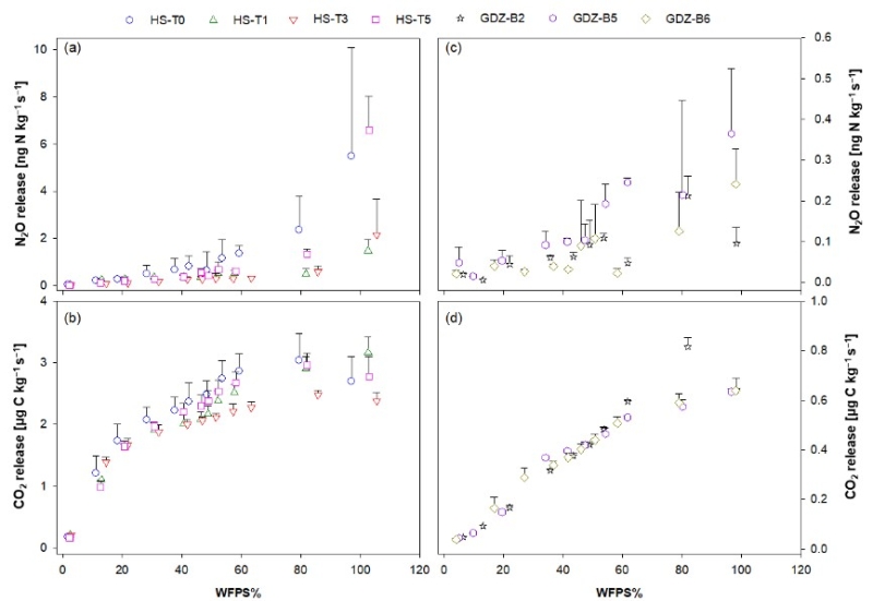
针对这一问题,中国科学院沈阳应用生态研究所康荣华研究员联合德国马普生物地球化学研究所和挪威生命科学大学等国际同行专家团队,选取中国重庆铁山坪亚热带森林两种不同地形的土壤(坡上:HS和地下水出流区:GDZ)(图1),利用实验室自动吹扫系统,通过室内培养实验,研究了土壤从湿变干的动态过程中(100%-0.5%WFPS),NO产生和消耗速率以及N2O释放速率的响应。结果显示:NO的产生速率存在一个最适宜的土壤孔隙含水率(18-20%WFPS),其不受地形的显著影响,表明在这两种地形的土壤中,硝化作用是NO产生的主要过程。坡上土壤NO产生和消耗的最大速率出现在同一土壤孔隙含水率,而地下水出流区土壤NO的最大消耗速率出现的土壤孔隙含水率高于最大产生速率(图2),表明反硝化作用是地下水出流区土壤NO一个重要的消耗途径。对两个地形的所有土壤,N2O的净释放速率在100%WFPS时最大,随后随着土壤变干逐渐降低(图3)。本研究的结果可预测,由于森林管理或全球变暖引起的土壤水分含量的变化可能直接影响区域大气氮氧化物的负荷。
该成果以Soil Moisture Control of NO Turnover and N2O Release in Nitrogen-Saturated Subtropical Forest Soils为题发表在Forests期刊的Special Issue “Biogeochemical Cycling in Forest Ecosystems”。沈阳生态所康荣华研究员为第一作者,德国马普生物地球化学研究所Thomas Behrendt博士和挪威生命科学大学Peter Dorsch教授为共同通讯作者。该研究得到了中国科学院百人计划项目(2019000186)和挪威国家自然科学基金(209696/E10)等项目的支持。

图1 研究站点-中国重庆铁山坪(TSP)森林流域(a)和土壤采样点分布(b)

图2 从土壤水分饱和到完全干燥的过程中,NO的产生和消耗速率

图3 从土壤水分饱和到完全干燥的过程中,N2O和CO2的释放速率
附件下载: